Matemática Financiera aplicada al Negocio Bancario
Blog sobre Matemática Financiera
Por Leticia Dib
viernes, 13 de julio de 2012
En respuesta a comentarios recibidos en el blog, en esta breve columna se expone el modo de calcular el total de intereses a pagar en un préstamo que amortiza de acuerdo al sistema alemán.
Si analizamos el cuadro de marcha del ejemplo consignado en la columna en la que se explicó el sistema alemán (recordemos que se trata de una financiación de $500 a 5 meses de plazo a una tasa de 10% T.N.A) vemos que la diferencia entre los intereses de cada período es siempre la misma (en el ejemplo $0.82). Esto no es otra cosa que una progresión aritmética decreciente.
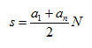
Para conocer el total de intereses a pagar podemos utilizar la fórmula de suma de una progresión aritmética:
Donde:
a1 = primer término de la progresión (primer pago de intereses)
an = último término de la progresión (último pago de intereses)
N = número de términos de la progresión
En el ejemplo
Reemplazando y operando matemáticamente en la fórmula anterior, llegamos a la siguiente expresión que también nos permite efectuar el cálculo.
p = cantidad de cuotas del préstamo
V = Valor nominal del préstamo
i = tasa de interés periódico
Recibí info GRATIS en tu correo
¡Suscribite ya!
33,00% TNA
30 días
32,00% TNA
“No reclames que te dan de baja”
MARCELOBAINES opinó sobre Banco Galicia el 26/02/20
“irresponsables”
jimenap1989 opinó sobre Banco Galicia el 05/02/20
“Cautivo de este banco, pesimo! Rosario.”
aluvion85 opinó sobre Nuevo Banco de Santa Fe el 19/01/20
“Cooperativismo en el capitalismo!”
aluvion85 opinó sobre Banco Credicoop el 19/01/20
“Cobro incorrecto con previa consulta hecha”
Cpach opinó sobre Banco Supervielle el 14/01/20
más opiniones