Matemática Financiera aplicada al Negocio Bancario
Blog sobre Matemática Financiera
Por Leticia Dib
domingo, 27 de febrero de 2011
La valuación de los activos financieros tiene su fundamento en el concepto del valor del dinero en el tiempo, de manera tal que su precio es igual al valor presente de los flujos de caja que de él se esperan recibir descontados a una determinada tasa de rendimiento.
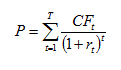
La valuación de los activos financieros tiene su fundamento en el concepto del valor del dinero en el tiempo, de manera tal que su precio es igual al valor presente de los flujos de caja que de él se esperan recibir descontados a una determinada tasa de rendimiento. Como ya vimos, en el caso de los bonos, los flujos de efectivo se integran con los pagos de intereses (cupones) y las amortizaciones (pago de capital).
Donde: P= Precio CF= Cash Flow (Intereses + amortizaciones) r = tasa de rendimiento requerida
Los flujos de fondos futuros surgen de las condiciones de emisión del título. Para la determinación de la tasa de descuento o actualización existen múltiples alternativas, donde el inversor incluye un rendimiento mínimo de mercado a recibir en una inversión libre de riesgo (Risk Free Rate) más una prima (Risk Premium) de acuerdo al riesgo percibido por la inversión (riesgos de crédito, de tasa de interés, de liquidez, entre otros)
De acuerdo a la fórmula general de cálculo del valor del Bono, existe una relación inversa del precio con los valores del tiempo y la tasa de actualización. Cuanto más lejos en el tiempo se reciben los fondos menor será el valor presente, mientras que cuanto mayor sea la tasa de interés menor será el valor presente.
Podemos comenzar analizando el bono más simple de valuar: - Valuación de un bono cupón cero:
Tomemos el ejemplo de unas Lebac con los siguientes datos; vencimiento en 119 días y tasa implícita (de corte) fue de 11,7501% TNA.
Dado que la tasa de corte se expresa en términos nominales anuales, primero se debe obtener la tasa proporcional:
i = 0,117501 * (119/365) = 0,038308
Y luego el precio de corte
- Valuación de un bullet
Tomando el ejemplo de un Bonar 17 tenemos un flujo constante de cupones de USD 3,5 por cada 100 de VN y la cancelación del capital tiene lugar el 17/04/17.
Con una tasa de descuento requerida por el mercado del 10% efectiva anual se obtiene un precio de USD 89,44
- Valuación con amortización periódica
Aquí se aplica la formula general. Tomando como ejemplo el Boden 2013 con una tasa requerida efectiva anual de 5,38% al 21 de febrero de 2011 podemos armar el siguiente cuadro para calcular el precio:
Nótese que el Boden 2013 en sus condiciones de emisión estipula que la tasa de interés a aplicar sea Libor semestral con un tope 3% a los fines del flujo de fondos se utilizo una Libor proyectada del 0,47% T.N.A.
Recibí info GRATIS en tu correo
¡Suscribite ya!
33,00% TNA
30 días
32,00% TNA
“No reclames que te dan de baja”
MARCELOBAINES opinó sobre Banco Galicia el 26/02/20
“irresponsables”
jimenap1989 opinó sobre Banco Galicia el 05/02/20
“Cautivo de este banco, pesimo! Rosario.”
aluvion85 opinó sobre Nuevo Banco de Santa Fe el 19/01/20
“Cooperativismo en el capitalismo!”
aluvion85 opinó sobre Banco Credicoop el 19/01/20
“Cobro incorrecto con previa consulta hecha”
Cpach opinó sobre Banco Supervielle el 14/01/20
más opiniones