Matemática Financiera aplicada al Negocio Bancario

Matemática Financiera aplicada al Negocio Bancario

Blog sobre Matemática Financiera

Sistemas de amortización de préstamos: tasa directa

Leticia Dib

Por Leticia Dib

martes, 12 de octubre de 2010

Los sistemas desarrollados en las columnas anteriores calculaban intereses sobre saldos en concordancia con lo dispuesto con la Comunicación A 3052, que determina que los intereses solo pueden liquidarse sobre los saldos de capitales efectivamente prestados y por los tiempos en que hayan estado a disposición de los clientes.
Pero más allá de los sistemas vistos existen otros sistemas que calculan los intereses directamente sobre el capital tomado en préstamo sin tener en cuenta el ritmo de amortización. En esta columna analizaremos el sistema de tasa directa que cuenta con dos variantes denominadas Tasa Directa Cargada y Tasa Directa Descontada. Es de mencionar que al no calcular intereses sobre saldos no son sistemas admitidos en las entidades bancarias, pero frecuentemente ciertos comercios emplean esta modalidad con la intención de facilitar el cálculo de las cuotas y el monto total a pagar.

En el sistema de Tasa Directa Cargada, los intereses se calculan sobre el total del capital tomado en préstamo, sumándose al mismo.

En base a lo expuesto sus principales características son:

  • Cuota total: Constante. Resulta de dividir el total de intereses más el capital tomado en préstamo por el número de períodos en los que se prevé cancelar la operación.
  • Intereses: Constantes, calculados sobre el capital inicial.
  • Cuota de amortización de capital: periódica constante.

Atento a las características expuestas para el cálculo de los componentes se aplican las siguientes fórmulas:

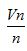
A) La parte correspondiente a amortización (tp) es la resultante de dividir el valor nominal del préstamo por los períodos en los que se va a cancelar el capital:

Donde:

V: es el monto tomado en préstamo
n: cantidad de períodos


B) El interés periódico se calcula sobre el capital tomado en préstamo:

Donde:

i: es la tasa periódica

C) La cuota total resulta de la suma de ambos componentes
 

A los fines prácticos, continuamos con el análisis del préstamo, ya analizado en las modalidades anteriores, de $500 cuya devolución fue pactada en cinco cuotas mensuales a una tasa del 10% TNA, en este caso bajo sistema de Tasa Directa Cargada.

 

P
Saldo Inicial
Interés del período
Amortización
Cuota Total
Total Amortizado
1
500,00
4,11
100,00
104,11
100,00
2
400,00
4,11
100,00
104,11
200,00
3
300,00
4,11
100,00
104,11
300,00
4
200,00
4,11
100,00
104,11
400,00
5
100,00
4,11
100,00
104,11
500,00


Cálculo de la cuota:
 

Amortización periódica:

Esta modalidad de cálculo conlleva a que la tasa pactada en la operación no refleja el costo de la misma. Para el cálculo del verdadero costo debemos determinar la tasa que iguala el valor recibido en préstamo con la suma de pagos futuros a realizar, denominada tasa interna de retorno TIR del préstamo (sobre este último concepto profundizaremos en próximas columnas). A los fines prácticos cabe aclarar que la igualdad mencionada se resuelve por interpolación lineal.

Resolviendo obtenemos un costo efectivo para esta alternativa de i30=1,36% equivalente a 17,57% expresado en términos efectivos anuales.

Otra posibilidad dentro de los sistemas que no calculan intereses sobre saldos, es el sistema de Tasa Directa Descontada. En el los intereses se calculan sobre el capital tomado en préstamo y se descuentan del principal a entregar al tomador de la financiación.

Los rasgos principales son:

  • Cuota total: Constante. Resulta de dividir el capital tomado en préstamo por el número de períodos en los que se prevé cancelar la operación.
  • Intereses: Constantes, calculados sobre el capital inicial.
  • Cuota de amortización de capital: periódica constante.

De las características mencionadas se derivan las siguientes fórmulas a aplicar:

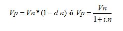
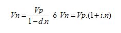
A) Valor que se recibe en préstamo:

Donde:

Vn: es el monto tomado en préstamo
Vp: Valor efectivamente recibido en préstamo
d: Tasa de descuento periódica
i: Tasa de interés periódica
n: Cantidad de períodos

B) Valor a solicitar en préstamo:
 

 

C) Cuota total :

D) Intereses periódicos:

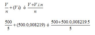
A los fines prácticos analicemos el préstamo que venimos utilizado como ejemplo, siendo que el Vn es de $ 500 a devolver en cinco cuotas mensuales a una tasa del 10% TNA.

A) Valor que se recibe en préstamo:

En nuestro ejemplo se pactó una tasa de interés vencida por lo que usamos la siguiente fórmula:
 

De acordarse en términos de tasas adelantadas (TNAA) deberíamos utilizar la otra fórmula consignada.

B) Cuota total:

C) Intereses periódicos:

 

P
Saldo Inicial
Interés del período
Amortización
Cuota Total
Total Amortizado
1
480,26
3,95
96,05
100,00
96,05
2
384,21
3,95
96,05
100,00
192,11
3
288,16
3,95
96,05
100,00
288,16
4
192,11
3,95
96,05
100,00
384,21
5
96,05
3,95
96,05
100,00
480,26

 

D) Si el deudor quisiera recibir en efectivo los $ 500 el valor del préstamo sería:

 

Al igual que en el Sistema de Tasa Directa Cargada la tasa pactada en la operación no representa su costo efectivo, aplicándose para su cálculo la metodología descripta anteriormente:

La resolución de la igualdad nos arroja una i30=1,36% equivalente a 17,57% expresado en términos efectivos anuales.