Matemática Financiera aplicada al Negocio Bancario

Matemática Financiera aplicada al Negocio Bancario

Blog sobre Matemática Financiera

Sistemas de amortización de préstamos: sistema americano

Leticia Dib

Por Leticia Dib

lunes, 30 de agosto de 2010

En las columnas previas vimos los dos sistemas de amortización más comúnmente utilizados en nuestro país, sistemas Alemán y Francés que se distinguen por calcular intereses sobre los saldos adeudados.

Pero las posibilidades no se agotan en esas dos opciones, sino que existen varios sistemas alternativos de amortización. Entre ellos, el sistema Americano que desarrollaremos en esta columna con sus dos variantes.

El sistema Americano consiste en el pago periódico de intereses, devolviendo el capital en una sola cuota al final de la vida del préstamo.

Sus rasgos distintivos entonces son:

  • Cuota total: únicamente paga intereses a excepción del último período donde cancela la totalidad de capital.
  • Intereses: constantes dado que el interés se calcula sobre saldos.
  • Cuota de amortización de capital: única al vencimiento.

Vemos el comportamiento de de este sistema continuando con el análisis del préstamo, ya visto en las modalidades anteriores, de $500 cuya devolución fue pactada en cinco cuotas mensuales a una tasa del 10% TNA esta vez bajo el sistema Americano.
 

 

P
Saldo Inicial
Interés del período
Amortización
Cuota Total
Total Amortizado
1
500,00
4,11
0,00
4,11
0,00
2
500,00
4,11
0,00
4,11
0,00
3
500,00
4,11
0,00
4,11
0,00
4
500,00
4,11
0,00
4,11
0,00
5
500,00
4,11
500,00
504,11
500,00

 

Como se observa en el cuadro de evolución, durante toda la vida de la operación el saldo de la deuda es igual al monto tomado en préstamo.

Dadas las características del sistema para el cálculo de los componentes se aplican las siguientes fórmulas:

A) El interés del período se calcula sobre lo tomado en préstamo:

I = i . V

Donde:

V: es el monto tomado en préstamo
i: es la tasa periódica

B) La cuota total resulta igual al interes de cada período a excepción del último pago dónde se incorpora la amortización del total del capital.

C = i . V =I

En el último período:

C = i . V + V


Existe la posiblidad de que el deudor voluntariamente y con el objetivo de equilibrar sus flujos futuros de egresos de fondos, decida ahorrar una cuota periódica, que le permita construir un capital con el que cancelar el principal al vencimiento. Esta variante se denomina sistema Americano con Fondo Amortizante o sistema de las “dos tasas”. Esto último hace referencia a que el deudor paga una tasa activa a la entidad financiera por el capital prestado y percibe una tasa pasiva por el fondo de ahorro voluntario.

En esta variante se hace necesario calcular una cuota destinada a constituir un capital igual al tomado en péstamo. Para ello debemos utilizar las fórmulas aplicadas para conocer el valor final de una sucesión de pagos periódicos, equidistantes en el tiempo y remunerados a una misma tasa.

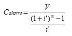
La fórmula que se aplica para calcular la cuota de ahorro es:

 

Donde:


Cahorro= cuota de ahorro a depositar
V = capital a cancelar
n = cantidad de cuotas a depositar
i’ = tasa de interés pasiva periódica
 

Es importante tener presente que las cuotas depositadas en el fondo de ahorro no revisten el carácter de cuota de amortización, es por ello que el importe del préstamo permanece constante durante toda la vida del mismo.

El pago periódico total a efectuar por el deudor se integra entonces por las dos cuotas, la de interés y la de ahorro voluntario:


 

Donde
Ct = Cuota Total
 

A los fines prácticos analicemos la aplicación de estas fórmulas para el préstamo ya visto bajo el sistema Americano con un fondo de ahorro voluntario que pagará una tasa pasiva del 8% TNA

Vemos que el cuadro de marcha de la suma periódica a abonar al acreedor no varía respecto a la anterior modalidad:

 

P
Saldo Inicial
Interés del período
Amortización
Cuota Total
Total Amortizado
1
500,00
4,11
0,00
4,11
0,00
2
500,00
4,11
0,00
4,11
0,00
3
500,00
4,11
0,00
4,11
0,00
4
500,00
4,11
0,00
4,11
0,00
5
500,00
4,11
500,00
504,11
500,00

 

En base a lo visto calculemos la cuota para el fondo de ahorro:

El fondo de ahorro voluntario pagará una tasa pasiva del 8% TNA.
La tasa periódica es: i’30 =0,006575

Cuota de ahorro:
 

 

P
Depósito
Intereses ganados
Valor final de cada cuota
1
98,6936
2,6215
101,3150
2
98,6936
1,9597
100,6532
3
98,6936
1,3022
99,9957
4
98,6936
0,6489
99,3425
5
98,6936
0,0000
98,6936
Total ahorrado
500,00

 

Cuota Total:

102,8031 = 4,11+98,6936

Respecto a la constitución del fondo de ahorro, se observa que a mayor tasa pasiva pagada por la entidad financiera, menor será el valor de la cuota a depositar.

Por ejemplo para el caso de que la tasa pasiva sea igual al 15%TNA, el valor de la cuota voluntaria sería de 97,5645 y la cuota total alcanzaría 101,6740.

Lo expuesto incide en la tasa efectiva del préstamo puesto que, si la tasa del fondo de ahorro i’ es mayor a la tasa de la financiación, la tasa efectiva de esta última resultará menor a la tasa activa pactada y viceversa.

Para el caso particular de que la tasa activa cobrada por el préstamo y la tasa pasiva ganada en el fondo de ahorro coincidan, la suma de los componentes de la cuota total es igual a la cuota calculada bajo el sistema Francés.

Cuota Total

102,4792= 4,11+98,3696

Remitiéndonos a la columna donde desarrollamos el sistema Francés podemos verificar dicha igualdad.