Matemática Financiera aplicada al Negocio Bancario

Matemática Financiera aplicada al Negocio Bancario

Blog sobre Matemática Financiera

Interés Continuo

Leticia Dib

Por Leticia Dib

miércoles, 14 de julio de 2010

 Consideremos un capital de $ 100 invertido por un año a un 10% TNA capitalizable anualmente:

Cn = Co (1+i)n 

Donde:
 
i = TNA / m
m = cantidad de periodos de capitalización en el año.
 
110,0=100 (1+0,10)
 
Veamos que sucede si en lugar de ser anual la capitalización es semestral:
 
110,10 = 100 (1+0,0493)2
 
Si armamos un cuadro con distintas frecuencias de capitalización en un año tenemos:
 
 
Frecuencia
Tasa periódica
Valor Final
Anual
10,0000%
110,00
Semestral
 4,9315%
110,11
Trimestral
 2,4658%
110,23
Mensual
 0,8219%
110,32
Diaria
 0,0274%
110,52
 

Observamos entonces que a mayor cantidad de períodos de capitalización (es decir aumenta m) el monto final a obtener va a ir aumentando.

Pero, ¿que sucedería si la frecuencia de capitalización aumentara indefinidamente? ¿los intereses crecerían infinitamente? La respuesta esta vinculada con el número e.

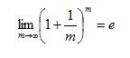
El número e es un número irracional que surge de aplicar límite a la siguiente función



 

La solución tiene un desarrollo decimal infinito cuyas primeras cifras son:

e = 2,71828182...

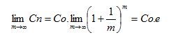
Relacionando esta expresión con la fórmula de interés compuesto obtenemos:

para el caso en que i= 1 es decir la TNA es 100%.

Entonces, tal como se observa en un proceso de capitalización continua los intereses no crecen infinitamente sino que tienen un limite que está dado por el número e

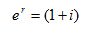
Generalizando, si la tasa fuera distinta de 100% la expresión anterior se transforma en:

Cn = Co er

siendo r una tasa de interés nominal cuyo periodo de capitalización es instantáneo.

Si el proceso de capitalización se da por un período mayor a un año la fórmula se modificará de la siguiente manera:

Cn = Co et.r

Si bien la Comunicación “A” 3043 (para depósitos e inversiones a plazo) establece como divisor fijo 365 días y asimismo dispone que los intereses se liquidarán sobre los capitales impuestos desde la fecha de recepción de los fondos hasta el día anterior al del vencimiento o del retiro o el día de cierre del período de cálculo, en realidad el devengamiento de intereses es un proceso continuo.

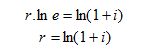
Si quisiéramos obtener la tasa que capitalizando en forma continua, genere el mismo monto que capitalizando con la tasa periódica de manera discreta procedemos de la siguiente manera, partiendo de los factores de capitalización:
 


Aplicando logaritmos
 

Es muy difícil encontrarse en la práctica con operaciones financieras simples que utilicen este tipo de devengamiento, si embargo el concepto de tasa de interés instantánea cobra importancia en la valuación de productos financieros más complejos como por ejemplo en el método Black-Scholes para valuar opciones, instrumentos financieros derivados cuyo valor se calcula en función del valor de un activo subyacente.