Matemática Financiera aplicada al Negocio Bancario

Matemática Financiera aplicada al Negocio Bancario

Blog sobre Matemática Financiera

Tasas de interés en un contexto inflacionario

Leticia Dib

Por Leticia Dib

viernes, 02 de julio de 2010

La inflación suele definirse como un aumento sostenido y generalizado en el nivel de precios. Es decir que no se trata de aumentos aislados en el nivel de precios, ni tampoco de incrementos que afectan solo a algunos bienes y servicios.

¿Cómo afecta la inflación el rendimiento de una operación?

Si colocamos $100 a plazo fijo por un año a una tasa del 15% al finalizar el período tendremos $ 115. Si bien tenemos un 15% más de dinero, ello no es garantía de que podamos comprar un 15% de bienes y servicios más que al comienzo del año.

Si durante el mismo lapso hay un incremento en el nivel general de precios del 11%, el rendimiento de la operación habrá sido absorbido en parte por la inflación habida en el período, reduciendo su poder adquisitivo.

Por ello en caso de trabajar en un contexto inflacionario la tasa de interés pactada no mostrará rendimiento real de la operación, solo el rendimiento aparente, por lo que para poder analizar la operación debemos segregar el componente inflacionario de la tasa pactada.

La relación conocida como Ecuación de Fischer expresa la relación existente entre estos conceptos:
 

(1+i)= (1+r)*(1+p)
Donde:
 
i:tasa de interés aparente (pactada).
 
r: tasa de interés real.
p:tasa deinflación del período.
 
Conceptualmente la tasa de interés real mide el resultado de la operación en términos de poder de compra del dinero ganado, mientras que la tasa de interés aparente solo permite obtener el resultado en términos “nominales” o monetarios. Cabe destacar que a diferencia de esta última, que es siempre positiva, la tasa de interés real podrá adoptar valores positivos, neutros o negativos.
 
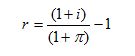
Por pasaje de términos se obtiene la siguiente expresión de cálculo de la tasa de interés real:

 

Como se observa la tasa real se obtiene realizando el cociente entre la tasa de interés aparente y la tasa de inflación para ese período.

Es decir que si hoy con un una expectativa de inflación del 11% anual invierto dinero en un fondo de inversión que se estima va a tener un rendimiento efectivo anual del 15%, el rendimiento real de esta inversión estimado será de un 3,6 %.
 

(1.15/1.11)-1 = 0,036

 

Muchas veces suele exponerse la relación entre estos conceptos bajo una forma simplificada:

 

 

i = r + p ó r = i - p

 

Estas expresiones constituyen solo una aproximación a los verdaderos resultados, que será más ajustada cuando los niveles de las tasas sean bajos. En el ejemplo vemos que el rendimiento real así calculado sería del 4%.

En nuestro país uno de los índices utilizados para medir la inflación es el IPC.
 

 

Cuadro 1. Índice de Precios al Consumidor GBA, base abril 2008=100 Índices y variaciones respecto del mes anterior y de diciembre de 2009, según capítulos.
Nivel General
y Capítulos
Índice
Variación
Porcentual
Marzo
2010
Febrero
2010
Respecto del mes anterior
Respecto de dic. 2009
Nivel general
115,56
114,26
1,1
3,5
 
Fuente: Indec

En el cuadro observamos que la variación del índice respecto a diciembre 2009 es 3,5% y que la variación entre febrero y marzo de 2010 fue de 1,1%. Con los datos mensuales publicados podemos calcular las variaciones del período:

 

 

Es de mencionar que si contamos con mediciones mensuales de las variaciones del nivel general de precios, podemos calcular la inflación acumulada durante un período bajo el régimen del interés compuesto. Así para el primer trimestre de 2010, a partir de las variaciones mensuales obtenemos: