Matemática Financiera aplicada al Negocio Bancario
Blog sobre Matemática Financiera
Por Leticia Dib
lunes, 19 de julio de 2010
Cuando un agente económico contrae un préstamo y se compromete a reintegrar el capital a lo largo del tiempo, el monto de los pagos periódicos o cuotas puede calcularse de distintas formas de acuerdo al sistema de amortización utilizado.
Se entiende por sistema de amortización el método utilizado para definir y calcular la cancelación del capital o principal, el cómputo de los intereses de la deuda, y la determinación de las cuotas.
Si bien existen varios sistemas de amortización, los más utilizados son los sistemas alemán y francés. En esta y en próximas columnas desarrollaremos las características distintivas de estos sistemas y de algunos otros no tan utilizados, a fin de que los usuarios del crédito cuenten con las herramientas necesarias para evaluar los costos y beneficios de tomar un préstamo bajo uno u otro sistema.
En ambos sistemas la cuota que abona el deudor tiene dos componentes: una parte destinada a amortización o cancelación de capital y otra en concepto de interés. En los dos métodos los intereses se calculan sobre el saldo de capital no cancelado. Esto está de acuerdo con lo dispuesto en la Comunicación “A” 3052 del B.C.R.A, en cuanto a que los intereses solo pueden liquidarse sobre los saldos de capitales efectivamente prestados y por los tiempos en que hayan estado a disposición de los clientes. Asimismo en relación a la tasa de interés a aplicar al préstamo, en la citada comunicación se establece que las tasas de interés compensatorio, para operaciones en general, se concertarán libremente entre las entidades financieras y los clientes, regulándose la forma de concertación y devengamiento de los intereses compensatorios, punitorios, comisiones y cargos adicionales.
Con respecto a los tipos de tasa de interes a aplicar, determina que pueden pactarse contratos de préstamo tanto a tasa fija como a tasa variable. En el caso de los primeros no podrán contener cláusulas que prevean su modificación, mientras que los concertados a tasa de interés variable deberán especificar claramente los parámetros que se emplearán para su determinación y periodicidad de cambio.
Adicionalmente a efectos del cálculo de los intereses periódicos la Comunicación “A” 3052 establece como divisor fijo 365 días, excepto para préstamos hipotecarios sobre vivienda y prendarios sobre automotores donde se admite 360 días, en las operaciones comprendidas en los manuales de originación y administración de esos préstamos.
Los rasgos distintivos del sistema alemán son:
Atento a las características expuestas para el cálculo de los componentes se aplican las siguientes fórmulas:
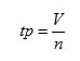
A) La parte correspondiente a amortización es la resultante de dividir el valor nominal del préstamo por los períodos en los que se va a cancelar el capital:
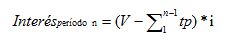
B) El interés se calcula sobre el saldo del capital no cancelado:
C) La cuota total resulta de la suma de ambos componentes
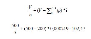
A los fines prácticos veamos la aplicación de estas fórmulas en un préstamo de $500 cuya devolución fue pactada en cinco cuotas mensuales a una tasa del 10% TNA bajo el sistema alemán
Amortización periódica:
Interés del Primer Período:
Cuota total:
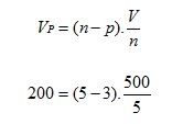
Cálculo de la cuota en períodos intermedios:
Cuota total N° 3
Saldos en períodos intermedios:
Por último les adjunto una aplicación en Excel que permite calcular el detalle las cuotas mensuales a a pagar, segregando los componentes de amortización e intereses de cada período.
Descargar aplicación Sistema de Amortización Alemán
Recibí info GRATIS en tu correo
¡Suscribite ya!
33,00% TNA
30 días
32,00% TNA
“No reclames que te dan de baja”
MARCELOBAINES opinó sobre Banco Galicia el 26/02/20
“irresponsables”
jimenap1989 opinó sobre Banco Galicia el 05/02/20
“Cautivo de este banco, pesimo! Rosario.”
aluvion85 opinó sobre Nuevo Banco de Santa Fe el 19/01/20
“Cooperativismo en el capitalismo!”
aluvion85 opinó sobre Banco Credicoop el 19/01/20
“Cobro incorrecto con previa consulta hecha”
Cpach opinó sobre Banco Supervielle el 14/01/20
más opiniones