Matemática Financiera aplicada al Negocio Bancario
Blog sobre Matemática Financiera
Por Leticia Dib
lunes, 02 de agosto de 2010
Anteriormente desarrollamos los rasgos distintivos del sistema de amortización Alemán. En esta columna desarrollaremos las principales características de otro sistema ampliamente utilizado en el mercado financiero, el sistema Francés, que también calcula los intereses sobre saldos.
Los rasgos distintivos del sistema Frances son:
Atento a las características expuestas para el cálculo de los componentes se utiliza una serie de fórmulas que no resultan tan intuitivas como las que vimos en el sistema Alemán, sino que tienen su origen en la valuación de rentas financieras y en la aplicación del concepto matemático de progresión geométrica decreciente. A continuación se exponen las principales:
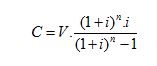
A) La cuota total en este sistema se calcula de la siguiente manera:
Donde:
C = cuota total V = capital tomado en préstamo n = cantidad de cuotas i = tasa de interés periódica
B) El interés del período se calcula sobre el saldo del capital no cancelado:
V(p-1) es el saldo del préstamo no cancelado
C) La cuota de amortización de capital del primer período (t1), es una de las variables más importantes del sistema Francés.
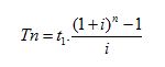
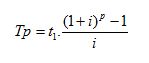
A partir de t1 se puede calcular la cuota de amortización correspondiente a cualquier período:
También podemos calcular el total amortizado a un momento dado p de la vida del préstamo:
De lo anterior se infiere que el total amortizado en el periodo n es igual al valor nominal del préstamo.
A los fines prácticos veamos la aplicación de estas fórmulas en un préstamo de $500 cuya devolución fue pactada en cinco cuotas mensuales a una tasa del 10% TNA bajo el sistema Francés.
Cálculo del Valor de la Cuota
Interés del Primer Período
Amortización del Primer Período
Saldos en períodos intermedios
Intereses en períodos intermedios
¿Cómo varía el valor de la cuota de un préstamo a medida que aumentamos la cantidad de cuotas?
En el sistema Francés la extensión de la cantidad de cuotas disminuye el valor de cada una de ellas fuertemente al principio, pero luego el descenso no sufre grandes variaciones. Esto se debe a que en el límite, el valor de la cuota tiende a cubrir como mínimo la porción correspondiente a los intereses.
En el siguiente ejemplo tenemos un préstamo de $ 100.000 a una tasa de 15%, al que le calculamos los valores de cuota para plazos cada vez mayores.
Por último les adjunto una aplicación que permite calcular el detalle las cuotas mensuales a pagar, segregando los componentes de amortización e intereses de cada período.
Descargar aplicación Sistema de Amortización Francés
Recibí info GRATIS en tu correo
¡Suscribite ya!
33,00% TNA
30 días
32,00% TNA
“No reclames que te dan de baja”
MARCELOBAINES opinó sobre Banco Galicia el 26/02/20
“irresponsables”
jimenap1989 opinó sobre Banco Galicia el 05/02/20
“Cautivo de este banco, pesimo! Rosario.”
aluvion85 opinó sobre Nuevo Banco de Santa Fe el 19/01/20
“Cooperativismo en el capitalismo!”
aluvion85 opinó sobre Banco Credicoop el 19/01/20
“Cobro incorrecto con previa consulta hecha”
Cpach opinó sobre Banco Supervielle el 14/01/20
más opiniones